Biến trở là dụng cụ có thể được dùng để thay đổi chiều dòng điện trong mạch Mới Nhất

Kinh Nghiệm về Biến trở là dụng cụ trọn vẹn có thể được vốn để làm thay đổi chiều dòng điện trong mạch Mới Nhất


Bann đang tìm kiếm từ khóa Biến trở là dụng cụ trọn vẹn có thể được vốn để làm thay đổi chiều dòng điện trong mạch 2022-04-08 14:50:13 san sẻ Mẹo về trong nội dung bài viết một cách Chi Tiết.







BIẾN TRỞ – ĐIỆN TRỞ DÙNG TRONG KĨ THUẬT


1. Biến trở


– Biến trở là điện trở trọn vẹn có thể thay đổi được trị số và trọn vẹn có thể sử dụng để trấn áp và điều chỉnh cường độ dòng điện trong mạch.


– Cấu tạo: gồm 2 bộ phận chính:


+ Con chạy hoặc tay quay


+ Cuộn dây bằng sắt kẽm kim loại tổng hợp có điện trở suất lớn


– Kí hiệu:


 


– Hoạt động: Khi dịch chuyển con chạy (hoặc tay quay) thì sẽ làm thay đổi chiều dài của cuộn dây có dòng điện chạy qua ⇒ làm thay đổi điện trở của biến trở.


2. Các loại biến trở thường dùng


Có nhiều cách thức phân loại biến trở:


– Phân loại biến trở theo vật liệu cấu trúc:


    + Biến trở dây quấn


    + Biến trở than


– Phân loại biến trở theo bộ phận trấn áp và điều chỉnh:


    + Biến trở con chạy


    + Biến trở tay quay



3. Điện trở dùng trong kĩ thuật


– Điện trở dùng trong kỹ thuật thường có trị số rất rộng.


– Được sản xuất bằng lớp than hoặc lớp sắt kẽm kim loại mỏng dính phủ ngoài một lớp cách điện


– Có hai cách ghi trị số điện trở dùng trong kỹ thuật là:


+ Trị số được ghi trên điện trở.



+ Trị số được thể hiện bằng những vòng màu sơn trên điện trở (4 vòng màu)



Sơ đồ tư duy về biến trở – điện trở dùng trong kĩ thuật





Câu phát biểu nào tại đây về biến trở là không đúng?


A. Biến trở là điện trở trọn vẹn có thể thay đổi trị số


B. Biến trở là dụng cụ có thế được vốn để làm thay đổi cường độ dòng điện


C. Biến trở là dụng cụ trọn vẹn có thể được vốn để làm thay đổi hiệu điện thế giữa hai đầu dụng cụ điện.


D. Biến trở là dụng cụ trọn vẹn có thể được vốn để làm đổi chiều dòng điện trong mạch


Lựa chọn từ thích hợp điền vào chỗ trống.


Biến trở là … trọn vẹn có thể thay đổi trị số và trọn vẹn có thể được sử dụng trấn áp và điều chỉnh cường độ dòng điện trong mạch.


A. Điện kế


B. Biến thế


C. Điện trở


D. Ampe kế


Đặt một điện áp xoay chiều có mức giá trị hiệu dụng không đổi U và tần số f thay đổi được vào hai đầu mạch mắc tiếp nối đuôi nhau gồm một cuộn dây không thuần cảm có độ tự cảm L và điện trở thuần r, tụ điện có điện dung C thay đổi được. Ban đầu khi tần số mạch bằng f1 thì tổng trở của cuộn dây là 100Ω. Điều chỉnh điện dung của tụ sao cho điện áp trên tụ cực lớn thì giữ điện dung của tụ không đổi. Sau đó thay đổi tần số f thì cường độ dòng điện hiệu dụng trong mạch thay đổi và khi f = f2 = 100Hz thì cường độ dòng điện hiệu dụng trong mạch cực lớn. Độ tự cảm L của cuộn dây là:


A. 0 , 25 π  H


B. 0 , 5 π  H


C. 2 π  H




D. 1 π  H


:


A. 2 π H


B.  1 π H


C.  1 2 π H


D.  1 4 π H


(megabook năm 2018) Đặt một điện áp xoay chiều có mức giá trị hiệu dụng không đổi U và tần số f thay đổi được vào hai đầu mạch mắc tiếp nối đuôi nhau gồm một cuộn dây không thuần cảm có độ tự cảm L và điện trở thuần r, tụ điện có điện dung C thay đổi được. Ban đầu khi tần số mạch bằng f1 thì tổng trở của cuộn dây là 100Ω. Điều chỉnh điện dung của tụ sao cho điện áp trên tụ cực lớn thì giữ điện dung của tụ không đổi. Sau đó thay đổi tần số f thì cường độ dòng điện hiệu dụng trong mạch thay đổi và khi f = f2 =100Hz thì cường độ dòng điện hiệu dụng trong mạch cực lớn. Độ tự cảm L của cuộn dây là :


A.  2 π H


B.  1 π H


C.  1 2 π H


D.  1 4 π H




Với bộ Trắc nghiệm Vật Lí 9 Bài tập biến trở – điện trở dùng trong kĩ thuật sẽ tương hỗ học viên khối mạng lưới hệ thống lại kiến thức và kỹ năng bài học kinh nghiệm tay nghề và ôn luyện để đạt kết quả cao trong những bài thi môn Vật Lí lớp 9.


Trắc nghiệm Vật Lí 9 Bài tập biến trở - điện trở dùng trong kĩ thuật


Câu 1 : Biến trở là:


A. điện trở trọn vẹn có thể thay đổi trị số và vốn để làm trấn áp và điều chỉnh chiều dòng điện trong mạch.


B. điện trở trọn vẹn có thể thay đổi trị số và vốn để làm trấn áp và điều chỉnh cường độ và chiều dòng điện trong mạch.


C. điện trở trọn vẹn có thể thay đổi trị số và vốn để làm trấn áp và điều chỉnh cường độ dòng điện trong mạch.


D. điện trở không thay đổi trị số và vốn để làm trấn áp và điều chỉnh cường độ dòng điện trong mạch.


Hiển thị đáp án

Biến trở là điện trở trọn vẹn có thể thay đổi trị số và vốn để làm trấn áp và điều chỉnh cường độ dòng điện trong mạch.


Đáp án: C


Câu 2 : Hiệu điện thế trong mạch điện có sơ đồ dưới được giữ không đổi. Khi dịch chuyển con chạy của biến trở dần về đầu N thì số chỉ của ampe kế sẽ thay đổi ra làm thế nào?


Trắc nghiệm Vật Lí 9 Bài tập biến trở - điện trở dùng trong kĩ thuật


A. Giảm dần đi


B. Tăng dần lên


C. Không thay đổi


D. Lúc đầu giảm dần, tiếp sau đó tăng dần lên


Hiển thị đáp án

Khi dịch chuyển con chạy của biến trở dần về đầu N thì điện trở của mạch sẽ tăng thêm, mà hiệu điện thế không đổi


=> Số chỉ ampe kế IA sẽ giảm dần đi


Đáp án: A


Câu 3 : Biến trở không tồn tại kí hiệu sơ đồ nào tại đây?


Trắc nghiệm Vật Lí 9 Bài tập biến trở - điện trở dùng trong kĩ thuật


Hiển thị đáp án

Hình B không phải là kí hiệu của biến trở


Đáp án: B


Câu 4 : Câu phát biểu nào dưới đấy là không đúng về biến trở?


A. Biến trở là điện trở trọn vẹn có thể thay đổi trị số


B. Biến trở là dụng cụ trọn vẹn có thể được vốn để làm thay đổi cường độ dòng điện




C. Biến trở là dụng cụ trọn vẹn có thể được vốn để làm thay đổi hiệu điện thế giữa hai đầu dụng cụ điện


D. Biến trở là dụng cụ trọn vẹn có thể được vốn để làm thay đổi chiều dòng điện trong mạch.


Hiển thị đáp án

A, C, B – đúng


D – sai vì: Biến trở là dụng cụ không thể được vốn để làm thay đổi chiều dòng điện trong mạch


Đáp án: D


Câu 5 : Trước khi mắc biến trở vào mạch để trấn áp và điều chỉnh cường độ dòng điện thì nên trấn áp và điều chỉnh biến trở có mức giá trị nào tại đây?


A. Có giá trị 0


B. Có giá trị nhỏ


C. Có giá trị lớn


D. Có giá trị lớn số 1


Hiển thị đáp án

Trước khi mắc biến trở vào mạch để trấn áp và điều chỉnh cường độ dòng điện thì nên trấn áp và điều chỉnh biến trở có mức giá trị lớn số 1, như vậy cường độ dòng điện qua mạch sẽ nhỏ nhất.


Khi chỉnh biến trở, điện trở của mạch sẽ giảm dần nên cường độ dòng điện trong mạch sẽ tăng dần


=> tránh khỏi hư hỏng thiết bị trong mạch.


Đáp án: D


Câu 6 : Trên một biến trở có ghi 30Ω – 2,5A. Các số ghi này còn có ý nghĩa nào tại đây?


A. Biến trở có điện trở nhỏ nhất là 30Ω và chịu được dòng điện có cường độ nhỏ nhất là 2,5A


B. Biến trở có điện trở nhỏ nhất là 30Ω và chịu được dòng điện có cường độ lớn số 1 là 2,5A


C. Biến trở có điện trở lớn số 1 là 30Ω và chịu được dòng điện có cường độ lớn số 1 là 2,5A


D. Biến trở có điện trở lớn số 1 là 30Ω và chịu được dòng điện có cường độ nhỏ nhất là 2,5A


Hiển thị đáp án

Các thông số kỹ thuật ghi trên biến trở tức là: Biến trở có điện trở lớn số 1 là 30Ω và chịu được dòng điện có cường độ lớn số 1 là 2,5A


Đáp án: C


Câu 7 : Cho mạch điện như hình vẽ:


Trắc nghiệm Vật Lí 9 Bài tập biến trở - điện trở dùng trong kĩ thuật


Đóng khóa K rồi dịch chuyển con chạy trên biến trở. Đề đèn sáng mạnh nhất thì phải dịch chuyển con chạy của biến trở đến vị trí nào?


A. Điểm M


B. Điểm N


C. Trung điểm của MN


D. Đèn luôn sáng thường thì


Hiển thị đáp án

Ta có, để đèn sáng mạnh nhất thì phải dịch chuyển con chạy của biến trở tới vị trí M


Vì khi đó điện trở của biến trở bằng 0, biến trở được định hình và nhận định như một dây dẫn thường thì => cường độ dòng điện trong mạch cực lớn => đèn sáng mạnh nhất


Đáp án: A


Câu 8 : Điện trở dùng trong kĩ thuật thường có trị số:


A. Rất lớn


B. Rất nhỏ


C. Cỡ vài chục ôm


D. Có thể lên tới 100 ôm


Hiển thị đáp án

Điện trở dùng trong kĩ thuật thường có trị số rất rộng, trọn vẹn có thể lên tới vài trăm mêgaom


Đáp án: A


Câu 9 : Trong kĩ thuật, ví dụ nổi bật nổi bật trong những mạch điện của rađio, tivi, … người ta cần sử dụng những điện trở có kích thước nhỏ với những trị số rất khác nhau, trọn vẹn có thể lên tới vài trăm megaom. Các điện trở này được sản xuất bằng một lớp than hay lớp sắt kẽm kim loại mỏng dính phủ ngoài một lớp cách điện (thường bằng sứ). Phương án nào tại đây lý giải được vì sao lớp than hay lớp sắt kẽm kim loại nó lại sở hữu điện trở lớn.


A. Vì khối này như một điện trở có bề dày lớn


B. Vì khối này như một điện trở có tiết diện S rất nhỏ


C. Vì khối này như một điện trở có tiết diện S lớn


D. Vì khối này như một điện trở có chiều dài rất rộng


Hiển thị đáp án

Ta có:


Than hay lớp sắt kẽm kim loại là chất dẫn điện, nếu lớp than hay lớp sắt kẽm kim loại mỏng dính phủ ngoài một lớp cách điện thì chỉ có lớp mỏng dính này dẫn điện, lõi sứ bên trong không dẫn điện.


Vì vậy khối này tựa như một điện trở có tiết diện S rất nhỏ. Bề dày của lớp than hay sắt kẽm kim loại này càng mỏng dính thì tiết diện S càng nhỏ.


Mà điện trở: Trắc nghiệm Vật Lí 9 Bài tập biến trở - điện trở dùng trong kĩ thuật tỉ lệ nghịch với S nên điện trở R rất rộng.


Đáp án: B




Câu 10 : Điện trở dùng trong kĩ thuật được sản xuất bằng:


A. Lớp natri hoặc lớp sắt kẽm kim loại mỏng dính phủ ngoài một lớp cách điện


B. Lớp natri hoặc lớp sắt kẽm kim loại mỏng dính phủ ngoài một lớp dẫn điện


C. Lớp chì hoặc lớp sắt kẽm kim loại mỏng dính phủ ngoài một lớp cách điện


D. Lớp chì hoặc lớp sắt kẽm kim loại mỏng dính phủ ngoài một lớp dẫn điện


Hiển thị đáp án

Điện trở dùng trong kĩ thuật được sản xuất bằng lớp chì hoặc lớp sắt kẽm kim loại mỏng dính phủ ngoài một lớp cách điện


Đáp án: C


Câu 11 : Một biến trở con chạy có điện trở lớn số 1 là 20Ω . Dây điện trở của biến trở là sắt kẽm kim loại tổng hợp nicrom có điện trở suất 1,1.10-6Ω.m và tiết diện 0,5mm2 và được quấn đều xung quang một lõi sứ tròn đường kính 1,5cm. Số vòng dây của biến trở này là:


A. 260 vòng


B. 193 vòng


C. 326 vòng


D. 186 vòng


Hiển thị đáp án

Trắc nghiệm Vật Lí 9 Bài tập biến trở - điện trở dùng trong kĩ thuật


Câu 12 : Cầm làm một biến trở có điện trở lớn số 1 là 50Ω bằng dây dẫn Niken có điện trở suất 0,4.10-6Ω.m và có tiết diện 0,5mm2. Chiều dài của dây dẫn có mức giá trị là:


A. 62,5m


B. 37,5m


C. 40m


D. 10m


Hiển thị đáp án

Trắc nghiệm Vật Lí 9 Bài tập biến trở - điện trở dùng trong kĩ thuật


Câu 13 : Trên một biến trở con chạy có ghi 60Ω − 2A. Hiệu điện thế lớn số 1 được phép đặt lên hai đầu cuộn dây của biến trở là:


A. 30V


B. 60V


C. 80V


D. 120V


Hiển thị đáp án

+ Các số chỉ trên biến trở cho biết thêm thêm biến trở có điện trở tối đa là 60Ω và cường độ dòng điện tối đa trọn vẹn có thể chạy qua biến trở là Imax = 2A


+ Hiệu điện thế lớn số 1 trọn vẹn có thể được đặt tại hai đầu cuộn dây là:


Umax =ImaxR=2.60=120V


Đáp án: D


Câu 14 : Cuộn dây dẫn một biến trở con chạy được làm bằng sắt kẽm kim loại tổng hợp niken có điện trở suất 0,4.10−6Ω.m, có tiết diện đều là 0,6mm2 và gồm 500 vòng quấn quanh lõi sứ trụ tròn có đường kính 4cm. Điện trở lớn số 1 của biến trở này là:


A. 62,8Ω


B. 41,9Ω


C. 26Ω


D. 52,2Ω


Hiển thị đáp án

Trắc nghiệm Vật Lí 9 Bài tập biến trở - điện trở dùng trong kĩ thuật


Câu 15 : Cho mạch điện có sơ đồ như hình sau:


Trắc nghiệm Vật Lí 9 Bài tập biến trở - điện trở dùng trong kĩ thuật


Trong số đó, hiệu điện thế giữa hai điểm A và B được giữ không đổi và đèn sáng thường thì khi biến trở có điện trở bằng 0. Câu phát biểu nào sau đấy là đúng?


A. Đèn sáng mạnh lên khi dịch chuyển con chạy của biến trở về đầu M


B. Đèn sáng yếu hơn khi dịch chuyển con chạy của biến trở về đầu M


C. Đèn sáng mạnh lên khi dịch chuyển con chạy của biến trở về đầu N


D. Cả ba phương án trên đều không đúng


Hiển thị đáp án

Khi dịch chuyển con chạy về đầu M, điện trở của biến trở giảm => cường độ dòng điện trong mạch tăng


=> đèn sáng mạnh hơn


Đáp án: A


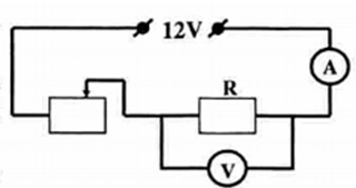
Câu 16 : Trong mạch điện có sơ đồ như sau:


Trắc nghiệm Vật Lí 9 Bài tập biến trở - điện trở dùng trong kĩ thuật


Nguồn điện có hiệu điện thế không đổi là 12V, điện trở mạch ngoài (R = 12 ). Phải trấn áp và điều chỉnh biến trở có điện trở là bao nhiêu để vôn kế chỉ 3V?


A. 12Ω


B. 24Ω


C. 36Ω


D. 34Ω


Hiển thị đáp án

Trắc nghiệm Vật Lí 9 Bài tập biến trở - điện trở dùng trong kĩ thuật




Video tương quan








Chia sẻ




Review Biến trở là dụng cụ trọn vẹn có thể được vốn để làm thay đổi chiều dòng điện trong mạch ?


Một số hướng dẫn một cách rõ ràng hơn về đoạn Clip Biến trở là dụng cụ trọn vẹn có thể được vốn để làm thay đổi chiều dòng điện trong mạch tiên tiến và phát triển nhất .


Chia Sẻ Link Down Biến trở là dụng cụ trọn vẹn có thể được vốn để làm thay đổi chiều dòng điện trong mạch miễn phí


Pro đang tìm một số trong những Chia Sẻ Link Down Biến trở là dụng cụ trọn vẹn có thể được vốn để làm thay đổi chiều dòng điện trong mạch Free.

#Biến #trở #là #dụng #cụ #có #thể #được #dùng #để #thay #đổi #chiều #dòng #điện #trong #mạch

Đăng nhận xét

Mới hơn Cũ hơn